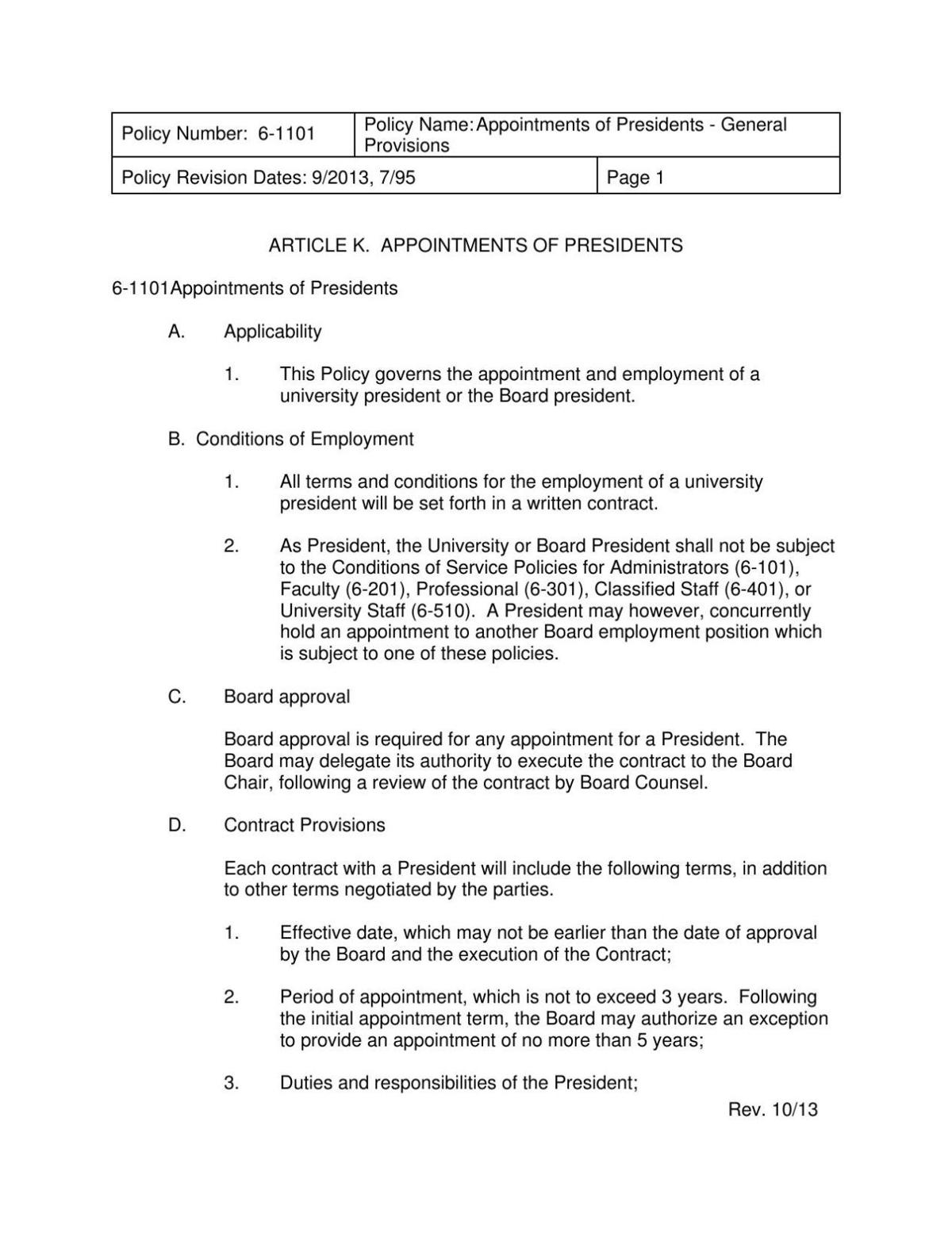
Web Only Arizona rules Mar 4, 2016 Mar 4, 2016 Updated May 17, 2024 Facebook Twitter Bluesky WhatsApp SMS Email Print Copy article link Download PDF Arizona's two-page policy on university presidents has few restrictions on outside employment . As featured on UA President Ann Weaver Hart takes job with DeVry, school FTC is suing Official says it is a "personal endeavor" unrelated to president's job. Facebook Twitter Bluesky WhatsApp SMS Email Print Copy article link View this profile on Instagram #ThisIsTucson 🌵 (@this_is_tucson) • Instagram photos and videos Most viewed stories 'Salsa Daddy' coming to the Tucson book festival Over 40 events happening in Tucson March 11-15 📖☘️ Tucson's St. Patrick's Day events start Saturday with festival ☘️ Nearly 90 fun events happening in March! 🌺 Over 40 exciting events to check out this weekend! 🌱 Cinammon rolls and double chocolate muffins: 1989 Bakehouse is now open on Fourth Avenue Tucson volunteers slay buffelgrass to save saguaros Dante's Kitchen is getting 'sexy' menu redo
UA President Ann Weaver Hart takes job with DeVry, school FTC is suing Official says it is a "personal endeavor" unrelated to president's job.