Skip to main contentSkip to main content
Register for more free articles.
Log in Sign up
Back to homepage
Subscriber Login
Keep reading with a digital access subscription.
Subscribe now
You have permission to edit this pdf.
Edit
  • Facebook
  • Instagram
about #thisistucson
become a member
things to do
eat + drink
tucson life
guides
shop
newsletters
summer camp guide
    • 52°
      • Tucson, AZ (85714)

        Today

        Plentiful sunshine. Near record high temperatures. High 79F. Winds NW at 5 to 10 mph..

        Tonight

        Some clouds. Low 48F. Winds SSE at 5 to 10 mph.

        Updated: December 12, 2025 @ 8:44 am

      • Full Forecast
    • to do
    • eat
    • tucson life
    • guides
    • newsletters
    • membership
    • about
    Share This
    • Facebook
    • Twitter
    • Bluesky
    • WhatsApp
    • SMS
    • Email



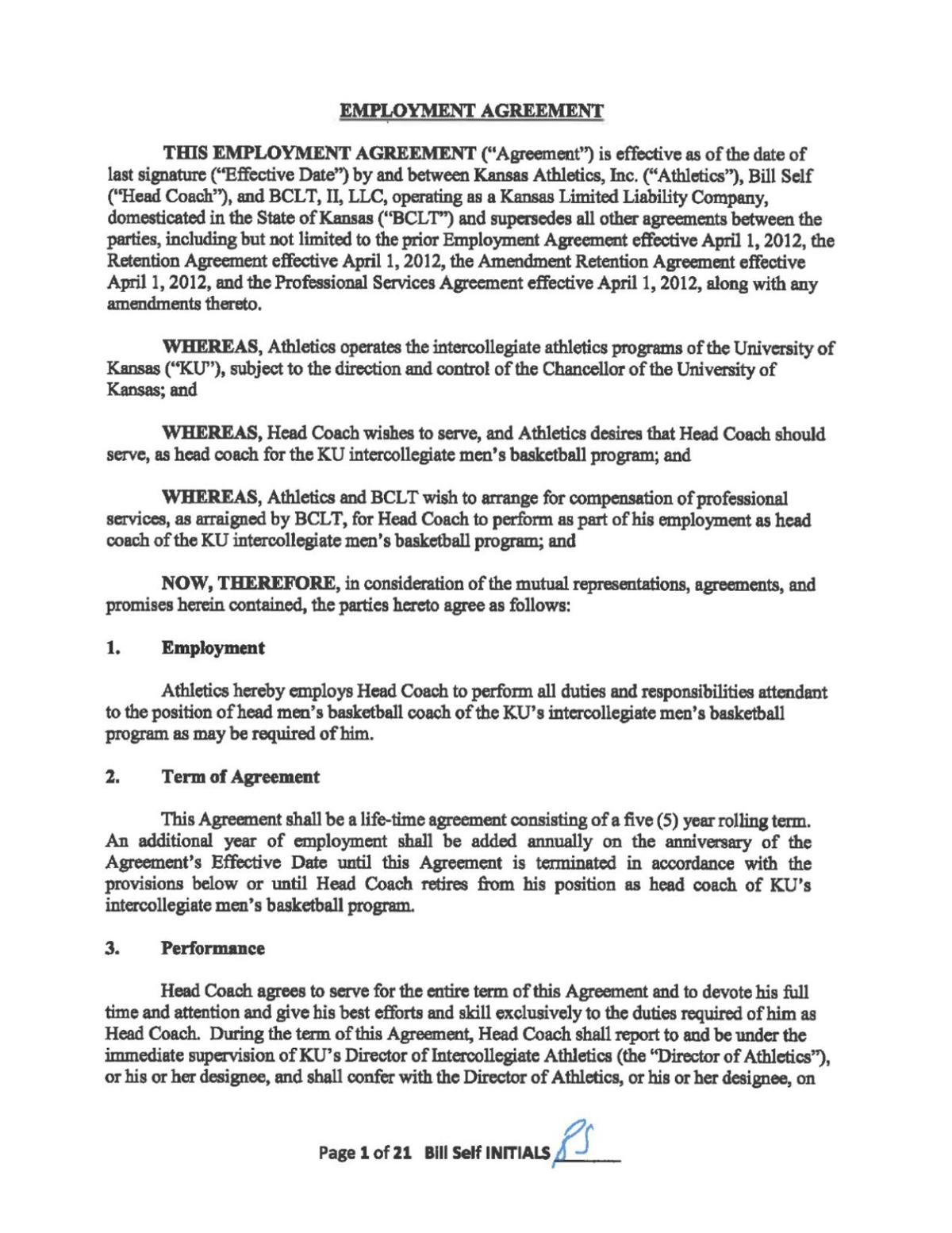
    Bill Self contract 2021

    • Apr 2, 2021
    • Apr 2, 2021 Updated Apr 2, 2021
    • Facebook
    • Twitter
    • Bluesky
    • WhatsApp
    • SMS
    • Email
    • Print
    Download PDF Bill Self contract 2021

    More information

    • Kansas offers coach Bill Self 'lifetime contract' while NCAA infractions case still ongoing
    • Facebook
    • Twitter
    • Bluesky
    • WhatsApp
    • SMS
    • Email
    • Print






    View this profile on Instagram

    #ThisIsTucson 🌵 (@this_is_tucson) • Instagram photos and videos

    Most viewed stories

    • Over 40 free events happening in Tucson this December! ⛄

    • Save the date! Here's the ultimate list of Tucson holiday events 🎄

    • A large list of fun and festive events in December! 🎄❄️

    • 20 gifts under $20 from Tucson shops! 🎄🎁

    • Cafe Maggie suddenly closes doors on Tucson's North Fourth Avenue

    • A giant guide to gifts made by Tucson makers and small businesses

    • 17 festive holiday markets that support Tucson artisans

    • More than 40 fun events in Tucson, December 12-14! ❄️✨

    • Satisfy your pozole craving at these 9 local places!

    • Where to get your tamales this holiday season, recommended by our readers

    Tools & Services

    • Submit a story idea
    • Tucson.com
    • About us
    • Advertise with us

    Products

    • Sign up for our weekly newsletters!
    • #ThisIsTucson app for iOS
    • #ThisIsTucson app for Android
    • Tucson stickers for iMessage
    • This Is Tucson Shop

    Browser Compatibility

    Your browser is out of date and potentially vulnerable to security risks.
    We recommend switching to one of the following browsers:

    Microsoft Edge Google Chrome Firefox