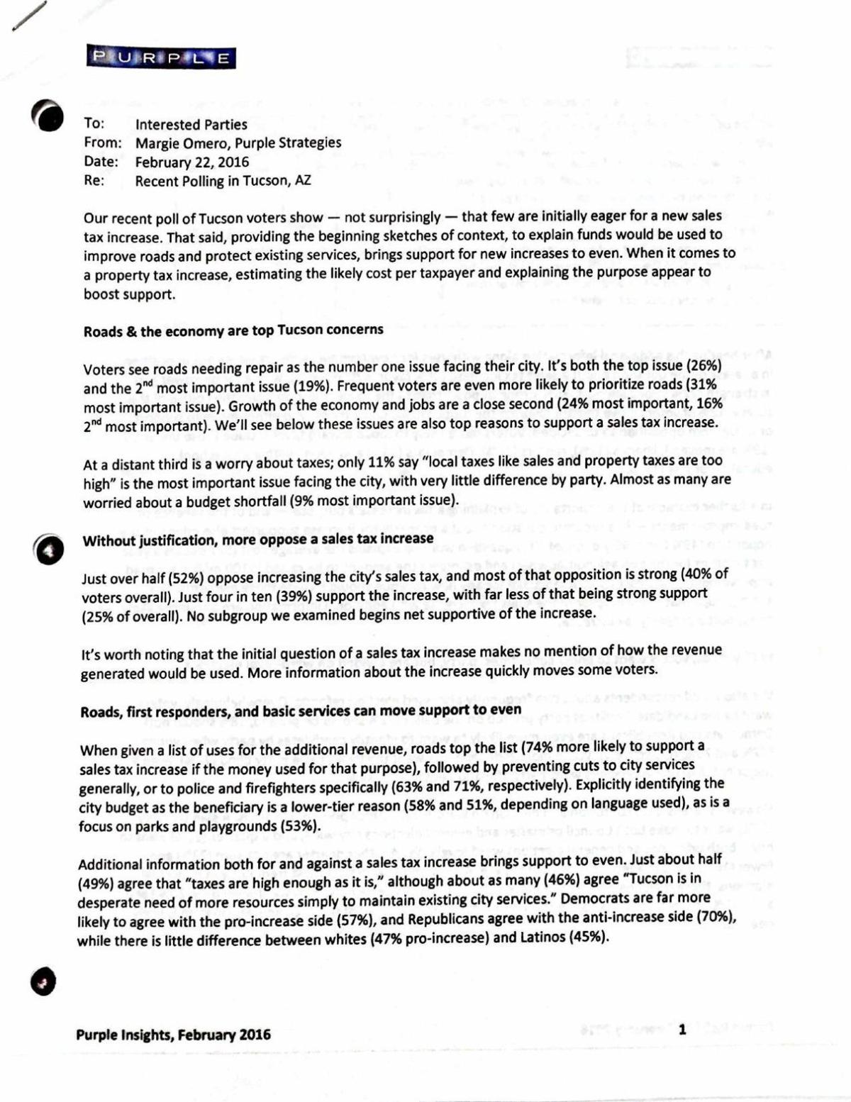
Web Only
Voter poll results
- Updated
View this profile on Instagram#ThisIsTucson 🌵 (@this_is_tucson) • Instagram photos and videos
Most viewed stories
-
A list of places that will be open on Christmas Day 2025
-
New eats! 10 new restaurants that opened in Tucson this fall
-
Ring in 2026 at these fun local New Year's Eve events 🥳
-
Over 40 free events happening in Tucson this December! ⛄
-
40 exciting things to do in Tucson December 19-21! ⭐
-
Save the date! Here's the ultimate list of Tucson holiday events 🎄
-
Over 20 fun events to do in Tucson December 26-28 💖
-
3 teaspoons of anise, 6 cups of flour and lots of love: My grandma's biscochitos recipe is more than a delicious cookie



