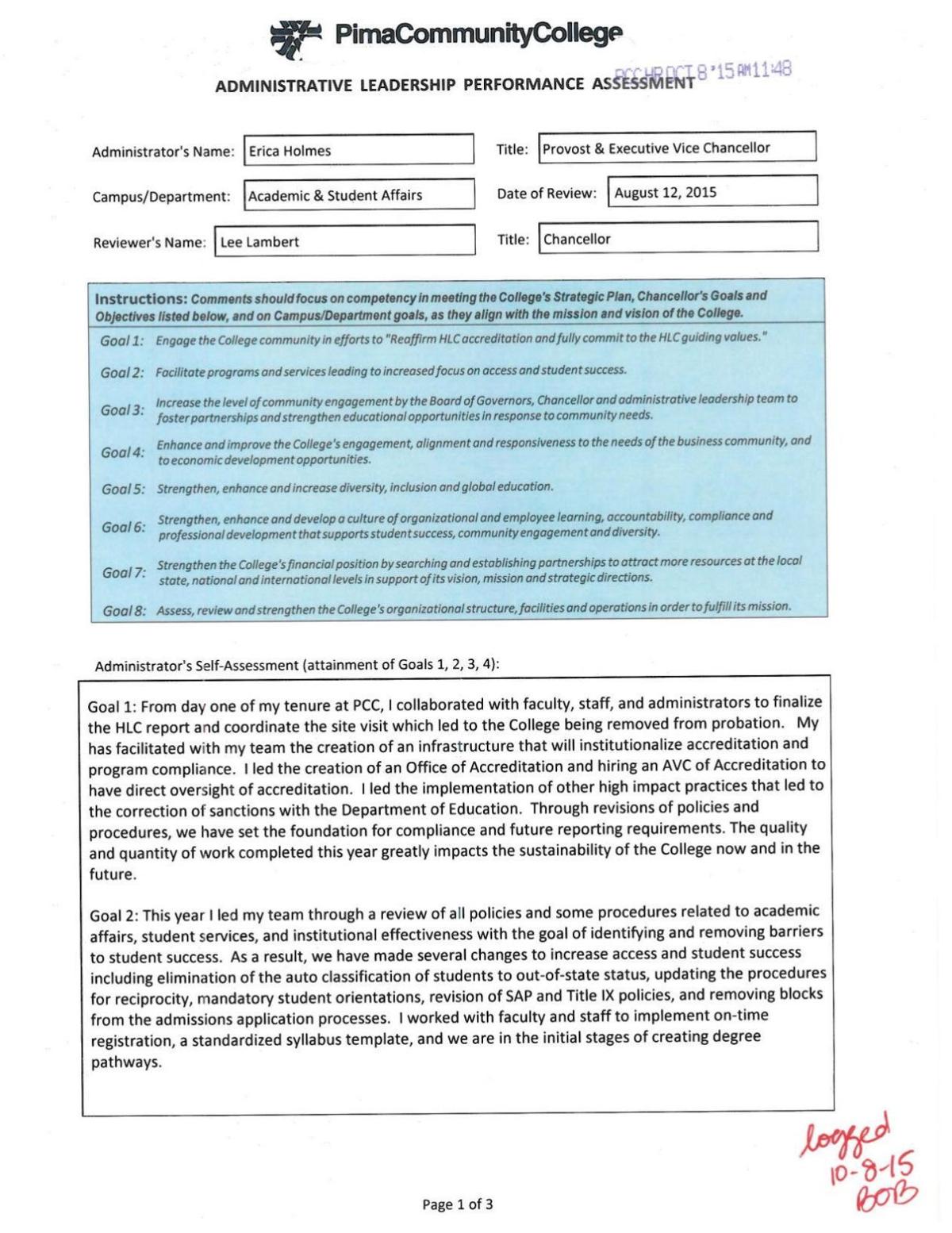
Exec review: Erica Holmes Oct 30, 2015 Oct 30, 2015 Updated May 17, 2024 Facebook Twitter Bluesky WhatsApp SMS Email Print Copy article link Download PDF Performance evaluation for Pima Community College's former provost Erica Holmes. As featured on PCC execs get high marks from top boss A Pima Community College executive who recently left with a $150,000 settlement received a p… Facebook Twitter Bluesky WhatsApp SMS Email Print Copy article link View this profile on Instagram #ThisIsTucson 🌵 (@this_is_tucson) • Instagram photos and videos Most viewed stories Over 40 exciting events to check out this weekend! 🌱 New Eats! 20 new restaurants that opened up in Tucson this winter 🍽️ OaxaRico opened their first brick-and-mortar, serving up delicious mole and gorditas The #ThisIsTucson Snail Mail Club is here! Here's how you can get a little piece of Tucson in your mailbox 💗 $25 challenge kicks off at Tucson’s Pop Cycle Nearly 90 fun events happening in March! 🌺 5 places in Tucson where you can get mouthwatering birria tacos 🌮
PCC execs get high marks from top boss A Pima Community College executive who recently left with a $150,000 settlement received a p…