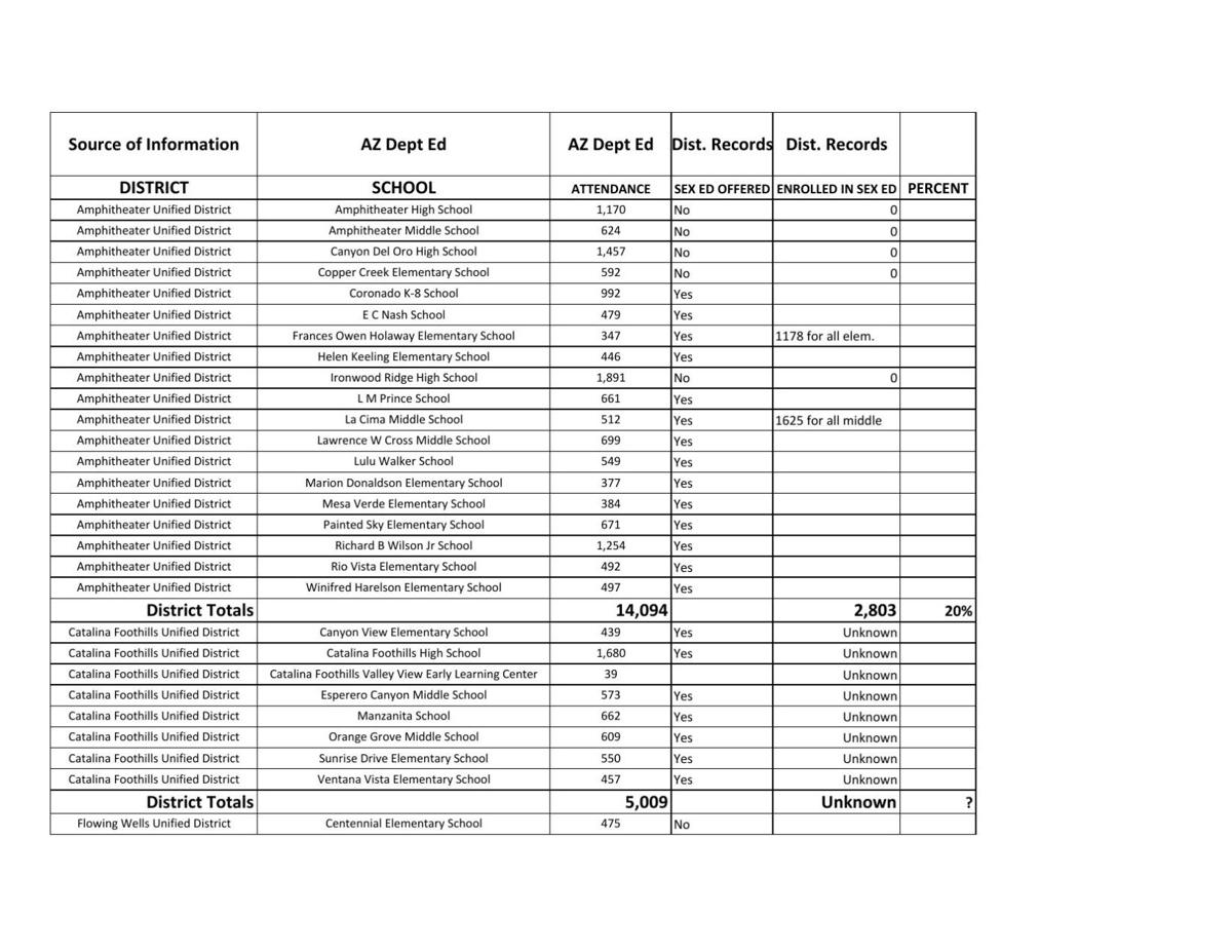
Sex-ed enrollment by school district Apr 25, 2014 Apr 25, 2014 Updated May 17, 2024 Facebook Twitter Bluesky WhatsApp SMS Email Print Copy article link Download PDF Sex-ed enrollment by district As featured on Thousands of Tucson kids are skipping sex ed Arizona doesnβt mandate sex education, and data provided by Tucson-area public school distri… Facebook Twitter Bluesky WhatsApp SMS Email Print Copy article link View this profile on Instagram #ThisIsTucson π΅ (@this_is_tucson) β’ Instagram photos and videos Most viewed stories 27 exciting events to check out this weekend, January 16-18 π New eats! 10 new restaurants that opened in Tucson this fall Tucson's twin winter music festivals kick off this weekend π΅ What a delicious year: the best meals I ate in Tucson in 2025 π Nearly 50 fun events happening in the month of January! β¨ Looking ahead to Tucson's new and cool for '26 Horchata lattes and breakfast burritos: Tucson's Barista del Barrio opens 2nd location Glitter and boas: Dress up '70s style for ABBA tribute show at the Rialto πͺ©β¨ Get ready to eat all the spicy tuna rolls you can at this viral sushi spot π£ Create the icy dessert of your dreams at this new frozen yogurt spot π¨
Thousands of Tucson kids are skipping sex ed Arizona doesnβt mandate sex education, and data provided by Tucson-area public school distri…