Skip to main contentSkip to main content
Register for more free articles.
Log in Sign up
Back to homepage
Subscriber Login
Keep reading with a digital access subscription.
Subscribe now
You have permission to edit this pdf.
Edit
  • Facebook
  • Instagram
about #thisistucson
become a member
things to do
eat + drink
tucson life
guides
shop
newsletters
summer camp guide
    • 80°
      • Tucson, AZ (85714)

        Today

        Cloudy early, becoming mostly clear after midnight. Low 57F. Winds SSW at 5 to 10 mph..

        Tonight

        Cloudy early, becoming mostly clear after midnight. Low 57F. Winds SSW at 5 to 10 mph.

        Updated: April 6, 2026 @ 4:25 pm

      • Full Forecast
    • to do
    • eat
    • tucson life
    • guides
    • newsletters
    • membership
    • about
    Share This
    • Facebook
    • Twitter
    • Bluesky
    • WhatsApp
    • SMS
    • Email




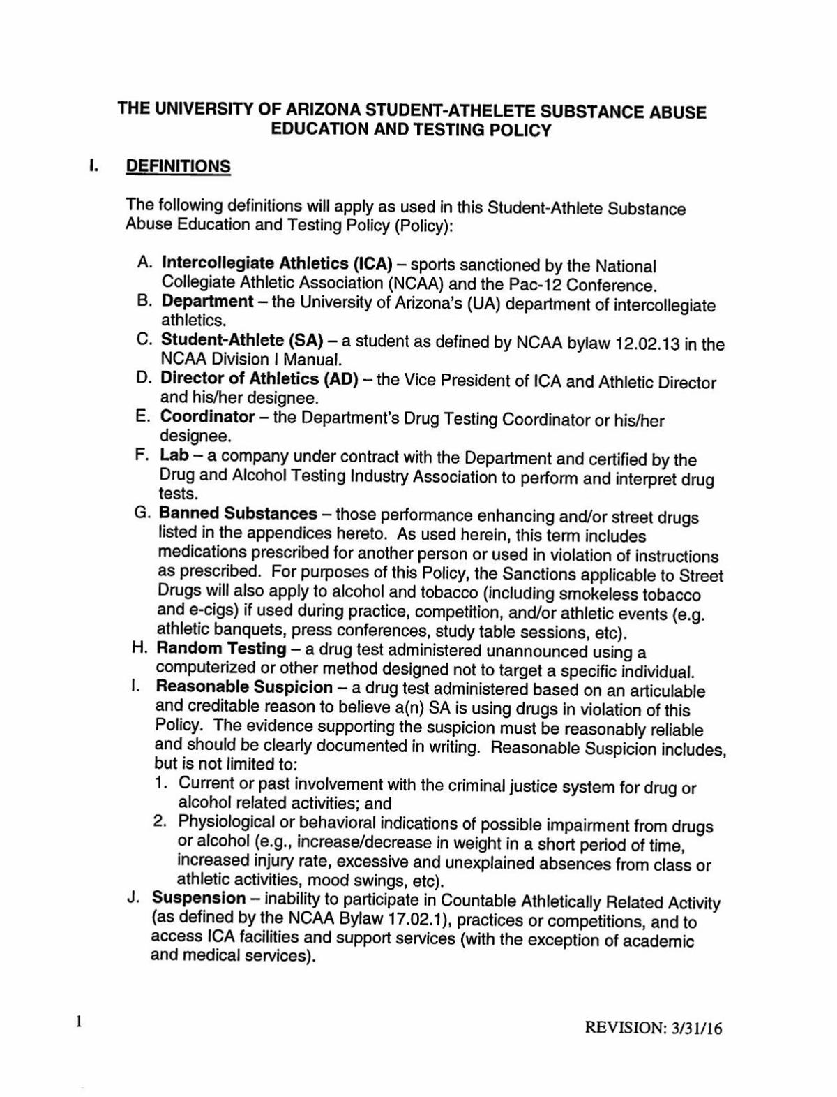
    UA's response, page 3

    • Jan 18, 2017
    • Jan 18, 2017 Updated Jan 18, 2017
    • Facebook
    • Twitter
    • Bluesky
    • WhatsApp
    • SMS
    • Email
    • Print
    Download PDF UA's response, page 3

    As featured on

    Arizona Wildcats guard Allonzo Trier 'shocked' by positive PED test

    Arizona Wildcats guard Allonzo Trier 'shocked' by positive PED test

    Allonzo Trier said he was unaware that a banned drug was used in his recovery from an injury.

    • Facebook
    • Twitter
    • Bluesky
    • WhatsApp
    • SMS
    • Email
    • Print






    View this profile on Instagram

    #ThisIsTucson 🌵 (@this_is_tucson) • Instagram photos and videos

    Most viewed stories

    • Cheer on the Wildcats in the Final Four at these local restaurants and bars 🐻⬇️

    • Over 30 fun events happening in Tucson March 27-29!

    • Over 70 fun events happening in Tucson in April 🎡🐰

    • New Eats! 20 new restaurants that opened up in Tucson this winter 🍽️

    • Bloomfest celebrates palo verde blooms and Tucson culture

    • 5 basement bars and speakeasies to visit when you want a fun drink and cool AC

    • Vintage band tees take center stage at Tucson’s new shop Almandel

    • OaxaRico opened their first brick-and-mortar, serving up delicious mole and gorditas

    • Over 40 exciting events to check out this weekend! 🌱

    Tools & Services

    • Submit a story idea
    • About us
    • Advertise with us

    Products

    • Sign up for our weekly newsletters!
    • #ThisIsTucson app for iOS
    • #ThisIsTucson app for Android
    • Tucson stickers for iMessage
    • This Is Tucson Shop

    Browser Compatibility

    Your browser is out of date and potentially vulnerable to security risks.
    We recommend switching to one of the following browsers:

    Microsoft Edge Google Chrome Firefox